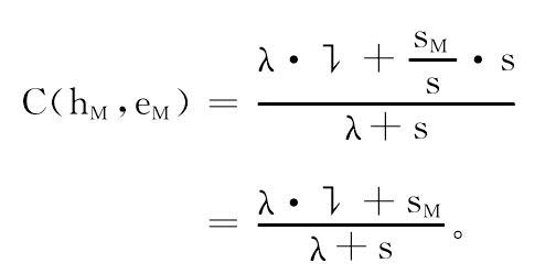
| λ-系统 λ-system 亦称“归纳方法的连续统”。卡尔纳普对诸多归纳方法作统一处理,后得到的一个归纳逻辑系统。它借助于状态描述等处理方法,对语言LπN中任意的合式句子h和e定义C-函数,可以归结为对一类特殊的hM和eM,去确定相应的函数值。这类eM报导已经检验过的s个个体中,sM个具有性质M、另外s-sM个不具有性质M,hM则预测尚未经检验的第s+1个个体将具有性质M。C(hM,eM)表示性质M在前s次试验中的出现频度sM/s这一证据,对M在下一次试验中也出现的确证度为量度。显然sM/s这个比是重要的,在确定C(hM,eM)的值时,是必须加以考虑的经验因素。另一个因素由性质谓词M的语形结构决定,称为逻辑因素,记作,当没有任何证据时,假设hM的确证度将主要由确定。于是,人们将在经验因素sM/s与逻辑因素之间取一个加权平均作为C(hM,eM)的值。令sM/s的权重为s,并记㇊的权重为λ,则  随着检验次数增多,经验因素的权重也增加,表明人们对证据越来越信任,这符合一般人的心理状态。λ则刻画人们对逻辑因素的依重程度,人们可以根据个人的爱好随意取λ的值,或让λ按照某种规则变化。λ的值反映了相应归纳法的特征,不同的归纳法是通过不同的λ来加以区分的。λ的值也反映了选择某种归纳法的人的主观特征,笼统的“主观信念”现在被表征为对逻辑因素的信任程度。λ可在非负实数的连续统上取值,因此,也就有归纳法的连续统。在λ-系统中,仍然是几乎所有的归纳法都赋予无限全称命题以O确证度,但这个困难现在已并非不可克服。 |